Основанный на утверждении Пола Хейне о том, что «все общественные взаимодействия можно трактовать как рыночные процессы» [1, с. 29], позволяющий рассматривать любую конкурентную систему (в частности МЭС) как своеобразный рынок и применять для анализа метод ядерной сепарации субъектов рынка и оценки уровня рыночной конкуренции на нем, по данным Всемирного Банка за 2013 год был представлен в работе [2].
Суть методики ядерного сепарирования изложена в ряде публикаций (в частности, в работах [3-9]) и сводится к разбиению рассматриваемой конкурентной структуры на ядра, формируемые путем сепарации субъектов по их компетенциям («рыночным» долям) с помощью трех критериев отбора.
1. Критерий отбора членов большого ядра рынка.
В состав большого ядра включаются субъекты системы, удовлетворяющие следующему (самому «мягкому») критерию:
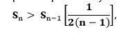
очередной из ранжированного по убыванию компетенций перечня субъектов системы n – й субъект включается в большое ядро, если увеличение (за счет его компетенции) осредненной поn членам ядра их кумулятивной компетенции после его включения в состав ядра [(Sn – Sn-1) / n] равно или превышает уменьшение (за счет роста числа членов ядра) средней компетенции, приходящейся на одного члена ядра, после включения в состав ядра n – го субъекта [Sn-1 / (n - 1) – Sn/ n], т.е. критерий имеет вид:
Иными словами: очередной субъект системы включается в большое ядро, если его компетенция удовлетворяет неравенству:

где Sn-1 - кумулятивная компетенция n – 1 субъектов – членов ядра, компетенция каждого из которых не уступает его компетенции Sn.
2. Критерий отбора членов среднего ядра рынка.
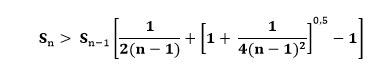
Включение в состав среднего ядра очередного субъекта требует не только выполнения неравенства (1), но и удовлетворения более «жесткому» критерию: очередной из ранжированного по убыванию компетенций перечня субъектов системы n-й субъект включается в среднее ядро, если отношение прироста (за счет компетенции) осредненной по n членам ядра их кумулятивной компетенции после включения этого субъекта в состав ядра [(Sn – Sn-1) / n] к уменьшению (за счет прироста числа участников ядра) средней компетенции, приходящейся на одного члена ядра, после включения в их число n – го субъекта [Sn-1 / (n-1) – Sn / n)], равно или превышает отношение кумулятивных компетенций членов этого ядра после (Sn) и до (Sn-1) его включения, т.е., критерий, имеет вид:
Из (2) следует, что n –й субъект системы входит в состав среднего ядра, если его компетенция удовлетворяет неравенству:
3. Критерий отбора членов малого ядра рынка.
Включение в состав малого ядра очередного n – ого участника требует соответствия еще более «жесткому» критерию:
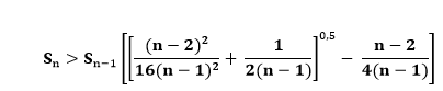
очередной из ранжированного по убыванию компетенций перечня субъектов системы n –й субъект включается в малое ядро, если отношение прироста (за счет его компетенции) осредненной по n членам ядра их кумулятивной компетенции после включения этого субъекта в состав ядра [(Sn – Sn-1) / n] к уменьшению (за счет прироста числа участников ядра) средней компетенции, приходящейся на одного члена ядра, после включения в их число n – го субъекта [Sn-1 / (n-1) – Sn / n)], равно или превышает отношение кумулятивной компетенции ядра после включения в его состав n -го субъекта (Sn) к компетенции этого субъекта (sn), т.е. этот критерий отбора имеет вид:
Критерий (3) подразумевает, что очередной субъект включается в состав малого ядра, если его компетенция Sn удовлетворяет неравенству:
С помощью представленных критериев анализировались данные рейтинга Всемирного Банка по уровню номинального валового внутреннего продукта 192 стран мира за 2014 год [10]. Отметим, что по данным Всемирного Банка общий мировой валовой продукт 2014 года составил 75 592 941 млн. долларов, а на долю вошедших в рейтинг 192 стран приходится 74 939 090 млн. долларов (разница относится на не включенные в рейтинг страны и территории «из-за отсутствия достоверных статистических данных по размеру их ВВП» [10]). Результаты анализа приведены в таблице.
Таблица 1.
Ядерная конкурентная структура мировой экономической системы по итогам 2014 года.
|
Место |
Субъект мировой экономической системы |
Размер номинального ВВП ($ млн.) |
Тип ядра |
|
Суммарный ВВП 192 субъектов МЭС |
74 939 090 |
|
|
|
ПЕРВОЕ ЯДРО 2 субъекта с кумулятивной компетенцией 26 008 370 (34,71%) |
|||
|
1 2 |
Соединенные штаты Америки Китай
|
16 768 100 9 240 270 |
малое большое |
|
ВТОРОЕ ЯДРО 11 субъектов с кумулятивной компетенцией 27 283 620 (36,41%) |
|||
|
3 4 5 6 7 8 9 10 11 12 13 |
Япония Германия Франция Великобритания Бразилия Италия РОССИЯ Индия Канада Австралия Испания |
4 919 563 3 730 261 2 806 428 2 678 455 2 245 673 2 149 485 2 096 777 1 876 797 1 826 769 1 560 372 1 393 040 |
малое малое среднее среднее среднее среднее среднее среднее среднее среднее среднее |
|
ТРЕТЬЕ ЯДРО 29 субъектов с кумулятивной компетенцией 15 172 254 (20,25%) |
|||
|
14 15 16 17 18 19 20 21 22 23 24 25 26 27 28 29 30 31 32 33 34 35 36 37 38 39 40 41 42 |
Южная Корея Мексика Индонезия Нидерланды Турция Саудовская Аравия Швейцария Аргентина Швеция Польша Бельгия Нигерия Норвегия Венесуэла Австрия ОАЭ Таиланд Колумбия Иран Южная Африка Дания Малайзия Сингапур Израиль Чили Гонконг Филиппины Египет Финляндия |
1 304 554 1 260 915 868 346 853 539 822 135 748 450 685 434 609 889 579 680 525 866 524 806 521 803 512 580 438 284 428 322 402 340 387 252 378 415 368 904 350 630 335 878 313 159 297 941 290 551 277 199 274 013 272 067 271 973 267 329 |
малое малое среднее среднее среднее среднее среднее среднее среднее среднее среднее |
|
среднее среднее среднее среднее среднее среднее среднее среднее среднее среднее среднее большое большое большое большое большое большое большое |
|||
|
ЧЕТВЕРТОЕ ЯДРО 22 субъекта с кумулятивной компетенцией 3 926 506 (5,24%) |
|||
|
43 44 45 46 47 48 49 50 51 52 53 54 55 56 57 58 59 60 61 62 63 64 |
Греция Пакистан Ирландия Казахстан Ирак Португалия Алжир Чехия Катар Перу Румыния Новая Зеландия Украина Кувейт Вьетнам Бангладеш Венгрия Ангола Марокко Пуэрто-Рико Словакия Эквадор |
242 230 232 287 232 077 231 876 229 327 227 324 210 183 208 796 203 235 202 350 189 638 185 788 177 431 175 831 171 390 149 990 133 424 124 178 103 836 103 135 97 707 94 473 |
малое малое малое малое малое малое малое малое малое малое среднее среднее среднее среднее среднее среднее среднее среднее большое большое большое большое |
|
ПЯТОЕ ЯДРО 37 субъектов с кумулятивной компетенцией 1 814 894 (2,42%) |
|||
|
65 66 67 68 69 70 |
Оман Ливия Азербайджан Беларусь Куба Шри-Ланка |
79 656 74 200 73 560 71 710 68 234 67 182 |
малое малое малое малое малое малое |
|
71 72 73 74 75 76 77 78 79 80 81 82 83 84 85 86 87 88 89 90 91 92 93 94 95
96 97 98 99 100 101 |
Судан Доминикана Люксембург Хорватия Узбекистан Уругвай Кения Болгария Гватемала Макао Коста Рика Гана Словения Эфиопия Тунис Литва Сербия Ливан Панама Туркменистан Йемен Иордания Танзания Бахрейн Демократическая Республика Конго Кот-д”Ивуар Латвия Боливия Камерун Парагвай Замбия |
66 566 61 164 60 131 57 869 56 796 55 708 55 243 54 480 53 797 51 573 49 621 48 137 47 987 47 525 46 994 45 932 45 520 44 352 42 648 41 851 35 955 33 679 33 225 32 890 32 691
31 062 30 957 30 601 29 568 29 009 26 821 |
малое среднее среднее среднее среднее среднее среднее среднее среднее среднее среднее среднее среднее среднее среднее среднее среднее среднее среднее среднее большое большое большое большое большое
большое большое большое большое большое большое |
|
ШЕСТОЕ ЯДРО 50 субъектов с кумулятивной компетенцией 659 219 (0,88%) |
|||
|
102 103 104 105 106 107 108 109 110 111 112 113 114 115 116 117 118 |
Эстония Тринидад и Тобаго Сальвадор Кипр Уганда Афганистан Габон Непал Гондурас Босния и Герцеговина Грузия Бруней Мозамбик Экваториальная Гвинея Исландия Папуа – Новая Гвинея Камбоджа |
24 880 24 641 24 259 21 911 21 494 20 310 19 344 19 294 18 550 17 851 16 140 16 111 15 630 15 581 15 330 15 289 15 239 |
малое малое малое малое малое малое малое малое малое малое малое малое малое малое малое малое малое |
|
119 120 121 122 123 124 125 126 127 128 129 130 131 132 133 134 135 136 137 138 139 140 141 142 143 144 145 146 147 148 149 150 151 |
Сенегал Ботсвана Ямайка Конго Чад Зимбабве Намибия Албания Маврикий Южный Судан Буркина Фасо Монголия Палестина Никарагуа Лаос Мали Мадагаскар Армения Македония Мальта Таджикистан Гаити Багамские Острова Бенин Молдова Руанда Нигер Кыргызстан Косово Гвинея Монако Бермуды Суринам |
14 792 14 785 14 362 14 086 13 514 13 490 13 113 12 923 11 929 11 804 11 583 11 516 11 262 11 256 11 243 10 943 10 613 10 432 10 195 9 642 8 508 8 459 8 420 8 307 7 970 7 521 7 407 7 226 7 072 6 144 6 075 5 474 5 299 |
малое малое малое малое среднее среднее среднее среднее среднее среднее среднее среднее среднее среднее среднее среднее среднее среднее среднее среднее среднее среднее среднее среднее среднее среднее среднее среднее среднее среднее среднее большое большое |
|
СЕДЬМОЕ ЯДРО 14 субъектов с кумулятивной компетенцией 48 993 (0,065%) |
|||
|
152 153 154 155 156 157 158 159 160 161 162 163 164 165 |
Черногория Того Барбадос Мавритания Сьерра-Леоне Фиджи Свазиленд Малави Эритрея Гайана Бурунди Аруба Лесото Мальдивы |
4 416 4 339 4 225 4 158 4 136 3 855 3 791 3 705 3 444 2990 2 715 2 584 2 335 2 300 |
малое малое малое малое малое малое малое малое малое среднее среднее среднее среднее среднее |
|
ВОСЬМОЕ ЯДРО 18 субъектов с кумулятивной компетенцией 22 380 (0,03%) |
|||
|
166 167 168 169 170
171 172 173 174 175 176 177 178 179 180 181 182 183 |
Либерия Кабо-Верде Бутан Белиз Центрально-Африканская Республика Джибути Сейшельские острова Сент-Люсия Тимор-Лешти Антигуа и Барбуда Соломоновы Острова Гвинея-Бисау Гамбия Гренада Вануату Самоа Сент-Китс и Невис Сент-Винсент |
1 951 1 879 1 781 1 624 1 538
1 456 1 443 1 336 1 270 1 201 1 096 961 903 836 828 802 766 709 |
малое малое малое малое малое
малое малое среднее среднее среднее среднее среднее среднее среднее среднее среднее большое большое |
|
ДЕВЯТОЕ ЯДРО 6 субъектов с кумулятивной компетенцией 2 456 (0,003%) |
|||
|
184 185 186 187 188 189 |
Коморские Острова Доминика Тонга Микронезия Сан-Томе и Принсипи Палау |
599 517 466 316 311 247 |
малое малое малое среднее среднее среднее |
|
ДЕСЯТОЕ ЯДРО 3 субъекта с кумулятивной компетенцией 398 (0,0005%) |
|||
|
190 191 192 |
Маршалловы Острова Кирибати Тувалу |
191 169 38 |
Малое Малое - |
Аналитическое сопоставление вышеприведенных результатов (МЭС-2014) с материалами работы [2] (МЭС-2013), приведено в таблице 2.
Таблица 2.
Сравнение характеристик ядер конкурентных структур МЭС-2013 [2] и МЭС-2014.
|
Номер ядра |
Характеристика ядра |
МЭС |
Относительное Изменение (%) |
|
|
2013 |
2014 |
|||
|
1 |
число членов компетенция (%) |
2 33,8000 |
2 34,7100 |
0 +02,6923 |
|
2 |
число членов компетенция (%) |
11 37,7000 |
11 36,4100 |
0 -03,4218 |
|
Продолжение таблицы 2 |
||||
|
3 |
число членов компетенция (%) |
23 17,3000 |
29 20,2500 |
+26,0870 +17,0520 |
|
4 |
число членов компетенция (%) |
25 07,3000 |
22 05,2400 |
-12,0000 -28,2192 |
|
5 |
число членов компетенция (%) |
34 02,8000 |
37 02,4200 |
+08,8235 -13,5714 |
|
6 |
число членов компетенция (%) |
43 00,9000 |
50 00,8800 |
+16,2791 -02,2222 |
|
7 |
число членов компетенция (%) |
21 00,1500 |
14 00,0650 |
-33,3333 -56,6666 |
|
8 |
число членов компетенция (%) |
18 00,0400 |
18 00,0300 |
0 -25,0000 |
|
9 |
число членов компетенция (%) |
9 00,0070 |
6 00,0030 |
-33,3333 -57,1529 |
|
10 |
число членов компетенция (%) |
4 00,0009 |
3 00,0005 |
-25,0000 -44,4444 |
Выполненный анализ позволяет характеризовать современное состояние мировой экономической системы следующим образом:
- МЭС-2014, как и МЭС-2013, состоит из десяти ядер с различным числом субъектов (от двух в первом ядре до пятидесяти в шестом) и различными кумулятивными компетенциями (от 36,41% у второго ядра до 0,0005% у десятого).
- МЭС-2014, как и МЭС-2013, - дуополистическая конкурентная система (первое ядро с кумулятивной компетенцией 34,71% - США и Китай)
- Индекс совершенства (Perfection of Market Competition Index) олигополистической конкуренции PMCI = (100/N)/(S/n), где N – общее число субъектов системы, n – число олигополистов, S – кумулятивная компетенция олигополистов, для МЭС-2014 составляет 0,0300106.
Аналогичный индекс для МЭС-2013 равен 0,0311429, то есть конкуренция в МЭС снизилась в относительном выражении на 03,636% за счет роста на 0,91% компетенции первого ядра в абсолютном выражении. Заметим, что аналогичный индекс для мировой банковской системы равен 0,2090 [7], а для российской – 0,005 [9], то есть конкуренция в МЭС-2014 почти в 7 раз ниже, чем в мировой банковской системе, но в 6 раз выше, чем в российской.
- Важные характеристики МЭС, практически не изменившиеся в 2014 году:
- на долю первого ядра (примерно 1% стран) приходится более трети мирового ВВП;
- на долю первого и второго ядер (менее 7% стран) приходится более 71% мирового ВВП;
- на долю первого-третьего ядер (около 20% стран) приходится около 90% мирового ВВП;
- на долю первого-четвертого ядер (треть стран) приходится более 96% мирового ВВП;
- на долю первого-пятого ядер (52% стран) приходится более 99% мирового ВВП;
- на долю шестого-десятого ядер (48% стран мира) приходится менее 1% мирового ВВП.
- Волатильность МЭС, как и следовало ожидать, можно признать незначительной, поскольку она практически сводится к трансграничным перемещениям стран в соседние ядра (самое значимое из них – переход в 2014 году из седьмого в шестое ядро семи стран).
И.
А. Смарагдов