Сельское хозяйство Тульской области развивается в условиях умеренно-континентального климата, который характеризуется относительно холодной зимой и теплым летом. Регион расположен в двух природных зонах: лесов и лесостепей на границе между черноземной и нечерноземной почвенными зонами. Природно-климатические условия являются достаточно благоприятными для ведения сельскохозяйственного производства.
В настоящее время сельскохозяйственные угодья занимают три четверти земельного фонда области – 1.9 млн. га, в сельской местности проживают 382.6 тыс. человек (25% от общей численности населения), заняты сельхозпроизводством 50 тыс. человек – 7% от численности работников, занятых в экономике региона. Сельскохозяйственное производство формирует 6% валового регионального продукта [1, с. 190].
Растениеводство ориентировано на выращивание зерновых культур, сахарной свеклы (фабричной), картофеля, овощей, плодов и ягод. Зерновыми культурами занято две трети посевных площадей. В области возделываются преимущественно пшеница и ячмень. Животноводство ориентировано на производство мяса, молока и яиц. В структуре производства сельскохозяйственной продукции преобладает продукция растениеводства.
На рубеже XIX и XX веков Тульская губерния занимала площадь 27.2 кв. верст (31 тыс. кв. км), численность населения составляла 1419 тыс. человек (по данным Всероссийской переписи 1897 года), 90% из них – крестьяне.
Посевная площадь составляла 1330 тыс. гектаров. Основную долю занимали посевы озимой ржи, овса и картофеля. Сеяли также озимую и яровую пшеницу, ячмень, гречиху, просо, чечевицу, горох, табак; лен и коноплю – для получения волокна и семян. Огородничество было развито мало. Сады разводили повсеместно. Основной продукцией садоводства были яблоки – антоновка, вишня, малина. Но промышленного значения садоводство не имело.
Животноводство имело второстепенное по сравнению с растениеводством значение, но в то же время, развито оно было неплохо. В губернии насчитывалось более 300 тыс. голов лошадей, 200 тыс. голов крупного рогатого скота, 100 тыс. голов свиней, около 800 тыс. голов овец.
Последствия Первой мировой войны, революции, гражданской войны и продразверстка привели сельскохозяйственное производство к кризисному состоянию. Но начиная с середины 30-х годов ситуация стала улучшаться. Переход к крупному социалистическому земледелию создал условия для устойчивого роста урожайности и увеличения валовых сборов сельскохозяйственных культур. В последний предвоенный 1940 год с посевной площади 1330 тыс. гектаров было собрано 626 тыс. тонн зерна, 1190 тыс. тонн картофеля, 147 тыс. тонн овощей. В полосу подъёма вступило и животноводство. На конец 1940 года в хозяйствах всех категорий насчитывалось 262 тыс. голов крупного рогатого скота, в том числе 176 тыс. голов коров, 144 тыс. голов свиней, 486 тыс. голов овец и коз, 190 тыс. голов лошадей. Было произведено 29.4 тыс. тонн мяса (в убойном весе), 268.5 тыс. тонн молока, 83.9 млн. штук яиц [2, с. 71].
В конце 30-х - начале 40-х годов основными производителями сельскохозяйственной продукции являлись колхозы, число которых в 1940 году составляло 3510. В 1950 году относительно 1940 года их число в связи с массовым укрупнением разрозненных мелких колхозов с целью укрепления материально-технической базы сократилось в 3 раза. В этот период ведущая роль в производстве важнейших видов сельскохозяйственной продукции оставалась за хозяйствами населения. В личных подсобных хозяйствах населения в 1950 году было произведено 71% всего объема картофеля, 75% мяса скота и птицы, 80% молока, 85% яиц [3, с. 113, 165].
В 1960 году число колхозов сократилось до 237, а число, получивших к этому времени развитие совхозов, достигло 95. С дальнейшим становлением совхозов в 70-90-е годы среди категорий сельхозпроизводителей все более значимыми становятся сельскохозяйственные организации. В 1990 году в области работало 410 сельскохозяйственных организаций, в их числе было 185 колхозов и 225 совхозов, которые производили 72.2% общего объема сельхозпродукции.
Таблица 1.
Структура продукции сельского хозяйства по категориям хозяйств, в процентах
|
|
1960 |
1970 |
1990 |
2000 |
2010 |
2013 |
2014 |
|
Хозяйства всех категорий |
100 |
100 |
100 |
100 |
100 |
100 |
100 |
|
в том числе: |
|
|
|
|
|
|
|
|
сельскохозяйственные организации |
54.9 |
64.1 |
72.2 |
37.3 |
51.7 |
49.0 |
51.3 |
|
хозяйства населения |
45.1 |
35.9 |
27.8 |
61.7 |
43.4 |
43.2 |
38.6 |
|
крестьянские (фермерские) хозяйства |
- |
- |
- |
1.0 |
4.9 |
7.8 |
10.1 |
В 1990 году на хозяйства населения приходилось 27.8% выпуска продукции сельского хозяйства. Ими произведено 26.8% мяса, 16.7% молока, 28.2% яиц, 67.7% картофеля, 19.9% овощей [4, с. 50].
Рис. 1. Структура посевов сельскохозяйственных культур в хозяйствах всех категорий по видам культур, в процентах к итогу.
В период с 1945 по 1990 годы сельское хозяйство в Тульском регионе развивалось достаточно стабильно. Посевная площадь увеличилась с 1330 тыс. гектаров до 1448 тыс. гектаров. Структура посевных площадей в этот период несколько изменилась: уменьшилась доля зерновых культур при увеличением доли кормовых культур.
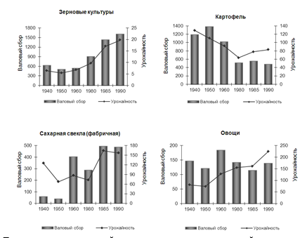
Урожайность сельскохозяйственных культур, кроме картофеля, повысилась: зерновых культур - с 6.4 центнера с одного гектара в 1940 году до 19.7 центнера в 1990 году, овощей – с 81 до 224 центнеров, сахарной свеклы с 125 до 157 центнеров, картофеля – понизилась со 129 до 83 центнеров с одного гектара. Соответственно с ростом урожайности зерновых культур, несмотря на уменьшение посевных площадей, повысились и валовые сборы зерна в 2.6 раза.
Постоянно улучшалась техническая оснащенность сельхозпроизводителей. В конце 1990 года тракторов в колхозах и совхозах было больше, чем, к примеру, в 1953 году в 2.5 раза, зерноуборочных комбайнов – в 1.8 раза [4, с. 322].
Рис. 2. Производство и урожайность основных сельскохозяйственных культур в хозяйствах всех категорий; тыс. тонн, центнеров с 1 гектара
В период с 1940 по 1990 годы наблюдался устойчивый рост поголовья скота. Так, поголовье крупного рогатого скота за этот период выросло в 2.7 раза, в том числе коров – в 1.5 раза, свиней – в 2.3 раза, овец – уменьшилось в 3.2 раза.
Рис. 3. Численность поголовья скота в хозяйствах всех категорий на конец года, тысяч голов
За период с 1950 по 1990 год наблюдался рост объема производства скота и птицы на убой в 3.0 раза, валового надоя молока в 2.1 раза, яиц – в 8.5 раза. Основным фактором увеличения производства молока являлся рост поголовья коров молочного стада, продуктивность коров в 1990 году в колхозах и совхозах по сравнению, например, с 1960 годом повысилась незначительно – на 6% [5, с. 340].
Серьезные изменения в сельском хозяйстве произошли в 90-е годы. Новым явлением стало возникновение крестьянских (фермерских) хозяйств. В 1990 году в области были созданы первые 19 фермерских хозяйств, в 1995 году их было уже 3275. В процессе рыночных преобразований фермерские хозяйства столкнулись с финансовыми трудностями и проблемами сбыта сельскохозяйственной продукции. В результате их число стало сокращаться (в 2000г. – 3246).
Крестьянские хозяйства не оказывают значительного влияния на состояние сельского хозяйства области. С момента формирования фермерских хозяйств их доля в производстве сельскохозяйственной продукции составляет в среднем 10%.
Рис. 4. Производство основных продуктов животноводства
В большей степени реформы в экономике отразились на деятельности сельхозорганизаций. Ослабление материально-технической базы, неблагополучие их финансового состояния привело к усилению значения хозяйств населения в производстве большинства видов сельскохозяйственной продукции. К 2000 году в объеме продукции сельского хозяйства удельный вес хозяйств населения составлял 58.8%. На их долю приходилось 93.7% произведенного картофеля, 83.2% овощей, 55.1% мяса, 42.3% молока.
С 1990 по 2000 год объемы сельскохозяйственной продукции сокращались. Сложившееся положение определялось, в основном, состоянием животноводства, так как поголовье крупного рогатого скота за этот период сократилось в 2.6 раза, коров – в 2.0 раза, свиней – в 2.7 раза, овец – в 3.0 раза. В результате производство мяса уменьшилось в 2.4 раза, молока в 2.1 раза, яиц в 1.5 раза [1, с. 196].
В 2000-х годах ситуация в растениеводстве улучшилась. Наблюдалось увеличение объема производства зерновых культур, сахарной свеклы, картофеля.
В животноводстве из-за дальнейшего снижения поголовья сельскохозяйственных животных и птицы уменьшилось производство молока и яиц, объемы произведенного мяса за период с 2000 по 2014 год несколько возросли.
Таблица 2.
Производство основных сельскохозяйственных культур в хозяйствах всех категорий, тыс. тонн
|
|
1990 |
2000 |
2010 |
2011 |
2012 |
2013 |
2014 |
|
Зерновые культуры |
1614.0 |
641.2 |
856.1 |
890.6 |
1140.9 |
1199.5 |
1464.5 |
|
Картофель |
483.9 |
603.5 |
379.1 |
763.1 |
756.3 |
677.3 |
652.4 |
|
Овощи |
138.6 |
181.0 |
134.5 |
168.5 |
166.8 |
151.8 |
167.8 |
|
Сахарная свекла (фабричная) |
487.1 |
139.7 |
226.3 |
455.9 |
270.4 |
175.8 |
207.0 |
|
Скот и птица на убой |
137.9 |
58.4 |
76.8 |
66.3 |
71.2 |
70.9 |
62.1 |
|
Молоко |
711.4 |
342.5 |
205.8 |
202.0 |
192.9 |
173.1 |
176.7 |
|
Яйца, млн. штук |
692.6 |
472.9 |
604.5 |
571.7 |
516.8 |
351.7 |
283.4 |
В 2014 году производством сельхозпродукции занимались 253 сельхозорганизации, 406 крестьянских (фермерских) хозяйств, 235.5 тыс. личных подсобных хозяйств. Ими произведено продукции на 45.9 млрд. рублей.
В структуре производства на долю продукции растениеводства приходилось 60.2%, продукции животноводства – 39.8%. Немногим более половины (51.3%) объема сельхозпродукции произведено сельскохозяйственными организациями. На население приходилось 38.6%, при этом по многим видам сельхозпродукции их роль, по-прежнему, велика – ими произведено 47.2% картофеля, 76.4% овощей, 26.7% мяса, 29.6% молока и 23.3% яиц. Крестьянскими хозяйствами произведено лишь 10.1% сельхозпродукции, в том числе 24.4% зерна и 20.6% картофеля, в других видах сельхозпродукции их доля крайне мала [1, с. 192].
Таким образом, в сельском хозяйстве области происходят значительные изменения в производстве сельскохозяйственной продукции, структуре сельхозпроизводителей. Перспектива развития сельскохозяйственного производства - использование современной техники и новейших технологий.
В.
В. Нехаев