Одно из определений маркетинга, рассматривает его как комплекс подходов и методов, ориентированный на рынок, служащий достижению целей предприятия [1, с. 22]. Действительно, вся философия маркетинга направлена на достижение целей предприятия, которые в свою очередь определяются концепцией маркетинга, на которую ориентируется компания [2, с. 84].
Для достижения целей, компании необходимо предпринимать определенные действия для решения тех задач, которые стоят перед ней. Хотя каждая компания по-своему уникальна, значительное число задач решается методами маркетинга, которые являются общими для компаний, использующих комплекс маркетинга для достижения целей бизнеса [3, с. 38].
Существующая в области маркетинга литература сосредоточена на теоретических аспектах. Кроме того, потребительскому маркетингу посвящается большее количество материалов [4], и книги, освещающие проведение исследований и их количественный, математически обоснованный анализ [5], [6], [7], в маркетинге также ориентированы на изучение покупателей. Основные виды исследований, которым посвящена большая часть литературы, включают:
- · Изучение потребителей, закономерностей их поведения,
- · Изучение товара,
- · Изучение конкурентной среды,
- · Исследование вопросов ценообразования,
- · Выявление факторов, влияющих на формирование лояльности, удовлетворённости,
- · Исследование влияния взаимодействия производителя с потребителем.
Множество материалов посвящены также методам и способам сбора данных для проведения анализа. Наиболее популярные из них заключаются в проведения различных опросов и анкетирований [8].
В различных списках лучших книг по маркетингу [4] сложно найти литературу по анализу торговой программы, проводимой в сфере торгового, а не потребительского маркетинга. А в настоящее время, с учётом развития ИТ и его возрастающего влияния на все сферы жизни, большое внимание уделяется различным цифровым и Интернет-технологиям. Между тем, для современного бизнеса по-прежнему большое значение имеет представленность продукции оффлайн, в торговых точках, куда потребитель приходит за нужными ему товарами. Торговый маркетинг направлен на установление эффективных взаимоотношений со всей цепочкой, обеспечивающей наличие продуктов в торговых точках [9].
Доступная по торговому маркетингу литература даёт обширные рекомендации по планированию активностей и их проведению. Однако анализ результатов описывается кратко и лишь в общих чертах.
Среди показателей, которые призваны помочь оценить действенность работы торгового маркетинга, выделяют несколько групп, также относящихся к типам активностей, подразумевающих взаимодействие с потребителем [10, с.166]. Это, например, индикаторы улучшения отношения потребителя к продукту, повышения рекомендаций товара персоналом торговой точки и др. [11].
Аналитические материалы, в большей степени, посвящены исследованиям потребителей, товаров, конкурентов, а также финансовому анализу [12], [13] проводимых торговых программ, безусловно, важному для компании с точки зрения рациональности расходования инвестиций [14, с.189]. Но в крупных компаниях зачастую финансовый и маркетинговый виды анализа проводятся разными отделами и лишь на этапе консолидации результатов по компании сводятся в один отчёт.
Существуют два основных вида маркетинговых исследований:
- маркетинговое исследование, направленное на выявление проблем (исследование потенциала рынка, исследование доли рынка, прогнозирующие исследования и т.п.);
- маркетинговое исследование, направленное на решение проблем (Исследования сегментации рынка, исследования товара, исследования ценовой политики и т.п.).
Процесс маркетинговых исследований состоит из семи шагов:
- Определение проблемы. План исследования может быть разработан только после определения проблемы требующей решения. На этом этапе ставятся цели исследования и определяются его задачи.
- Выбор проекта исследования. В зависимости от того, что уже известно о проблеме, используют: разведочное исследование (предварительное исследование) – целью является доскональное определение и осмысление сущности проблемы, которая стоит перед исследователем; описательное исследование – для описания каких либо параметров или явлений, как правило, определенных характеристик и функций рынка; каузальные (причинные) исследования – для определения причинно-следственных взаимосвязей.
- Определение метода сбора данных. В зависимости от наличия требуемой информации могут использоваться: вторичная информация – данные из существующих источников информации, собранные ранее для других целей; первичная информация – данные, которые будут получены специально для решения этой проблемы.
- Разработка форм, заполняемых в ходе наблюдений. Разрабатываемые формы, должны наилучшим способом удовлетворять потребности проекта.
- Проектирование выборки и сбор данных. В ходе проектирования выборки определяется форма выборки и ее размер.
- Анализ и интерпретация данных. В рамках анализа и интерпретации данных осуществляется проверка данных, их кодировка и классификация.
Рассмотрим наиболее часто используемые математические основы анализа в маркетинговых исследованиях.
Выявление зависимостей между переменными
Для проведения анализа данных зачастую бывает необходимо иметь сведения о наличии связи, положительной или отрицательной, между различными переменными. Для выявления зависимостей существуют различные проверки. В зависимости от характера проверяемых переменных могут использоваться:
- · коэффициенты корреляции (между порядковыми переменными) [15, с. 99],
- · критерий на независимость χ2, точный тест Фишера (между номинальными переменными) [15, с. 125],
- · сравнение средних (между переменными, измеренными в разных шкалах) [14, с. 220],
- · однофакторный дисперсионный анализ ANOVA с post-hoc сравнениями (сравнение более двух независимых выборок) [15, с. 225].
Критерий на независимость χ2
Нулевая гипотеза для критерия заключается в том, что переменные независимы.
Выборочное распределение статистики Хи-квадрат только приблизительно, асимптотически равно теоретическому распределению хи-квадрат, и это приближение становится неадекватным, когда размеры выборки малы, или данные очень неравномерно распределены по ячейкам таблицы сопряженности. В результате вероятность статистики Хи-квадрат Пирсона может быть оценена неверно.
Точный тест Фишера
По умолчанию в тесте Хи-квадрат уровень значимости вычисляется асимптотическим методом, что вполне оправдано на выборках большого объема, но, когда выборка мала и данные плохо сбалансированы, асимптотический метод не дает достоверного результата. В этом случае предпочтительнее вычислять уровень значимости, основываясь на точном распределении статистики.
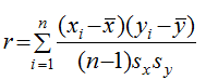
Коэффициент корреляции Пирсона
Коэффициент корреляции Пирсона (формула 1) измеряет силу линейной связи между двумя переменными.
Формула 1. Коэффициент корреляции Пирсона

где n – размер выборки, а sx и sy - стандартные отклонения двух переменных.
Коэффициент корреляции принимает значения от –1 до +1:
- -1 – полная отрицательная зависимость,
- 0 – отсутствие корреляции,
- +1 – полная положительная зависимость.
При использовании коэффициента корреляции Пирсона предполагается нормальность данных.
Ранговая корреляция Спирмана
При вычислении этой статистики в формулу 1 вместо самих значений подставляются их ранги. Таким образом, этот коэффициент нечувствителен к асимметрии распределения и к наличию выбросов.
Частные корреляции
При изучении корреляции двух переменных необходимо учитывать возможное воздействие на них со стороны других переменных. Частная корреляция позволяет измерить связь между переменными после удаления линейных воздействий одной или нескольких переменных.
Следует принимать во внимание и тот факт, что при решении более комплексных задач, таких как прогноз и расчет эффективности рекламы, выбор стратегии конкурентной борьбы, брэндирование и т.д., процесс сбора информации усложняется [16, с.101]. В этом случае необходима помощь экспертов. Однако всегда стоит помнить, что для экономии средств и времени необходимо четко понимать цели исследований и быть уверенным в том, что эксперты также понимают эти цели.
И.
А. Ленхорова