Наше исследование формирования конструктивных стратегий конфликтного поведения педагогического персонала дошкольной образовательной организации проводится на базе дошкольной образовательной организации №153 г. Челябинска. Работа в педагогическом коллективе – это не только работа, связанная непосредственно с детьми, но и работа с коллективом, в котором работает педагог. Коллектив - это всегда множество взглядов и интересов. Даже, если коллектив достаточно сплоченный, всегда найдется тот, кто не поддерживает мнение большинства. В результате чего может возникнуть конфликт. Следовательно, возникновение время от времени конфликтов в коллективе неизбежно.
Конфликт- это столкновение интересов, когда желания двух или нескольких людей не могут быть одновременно удовлетворенны.
Конфликт имеет 3 стадии: 1) возникновение конфликта;
2) непосредственное противостояние конфликтующих сторон;
3) Стремление каждой стороны выиграть конфликт ради победы.
Не обязательно, что конфликт будет проходить все 3 стадии. Гораздо лучше, если он разрешится на более ранних стадиях.
Если конфликт неизбежен, остается, в лучшем случае, только разрешить его с наименьшим ущербом. Что бы это сделать необходимо воспользоваться именно конструктивными стратегиями конфликтного поведения.
Определено 5 основных стилей разрешения конфликта, а именно стиль конкуренции, уклонения, приспособления, компромисса и наконец самый эффективный стиль-сотрудничество.
Для того, что бы наиболее эффективно разрешить конфликт следует использовать компромисс и сотрудничество. В таком случае конфликт будет конструктивным.
Основополагающей для психологии, как науки, является проблема конфликта. Негативные ситуации переживаемые человеком, противоречия, конфликты развивают личность и открывают ее конструктивный или деструктивный жизненный путь (М.Дойч, В.С.Мерлин, В.Н.Мясищев,Э.Эриксрн, Ж.Пиаже, З.Фрейд, К.Хорни и другие).
Одно из значений термина «формирование» - это процесс целенаправленного и организованного овладения социальными субъектами целостными, устойчивыми чертами и качествами, необходимыми для качественной жизнедеятельности [1]
Проблема формирования конструктивных стратегий конфликтного поведения является актуальной, на современном этапе ею занимаются В.И. Сперанский, Э.Э. Карпинский, Ф.М. Бородкин, Н.М. Коряк, В.Р. Веснин и другие, но применимо именно к педагогам она недостаточно освещена. Недостаточная изученность проблемы и послужила сделать в выбор темы исследования.
Проблема формирования конструктивных стратегий конфликтного поведения педагогического персонала ДОО связанна с необходимостью сочетания части и целого, совмещение дискретного изучения материала с процессом его синтеза, интеграции; формированием конструктивных стратегий педагогов путем последовательного включения их в решение задач, близких к производственным, требующих совокупного применения полученных по разным предметам знаний, умений и навыков [2].
Организация формирования конструктивных стратегий конфликтного поведения педагогического персонала ДОО начинается с построения дерево целей предстоящей деятельности.
В 1957 году Ч. Черменом и Р. Акоффом был предложен метод «дерева целей». Он представляет собой упорядочивающий инструмент используемый для формирования элементов общей целевой программы развития и соответствия со специфическими целями различных уровней и областей деятельности [3].
Долгова В.И. отмечает, что совершенствование целеполагания открывает мощный потенциал для научной программно-целевой основы управления. Оно позволяет осуществить высокий уровень конкретизации деятельности управленческого аппарата, целенаправить эту деятельность на достижение конечного результата, который заранее запрограммирован [4].
Как метод планирования дерево целей основывается на теории графов и представляет собой траекторные, определяющие направление движения к заданным стратегическим целям, которые характеризуют степень приближения к заданным целям по заданной траектории [4].
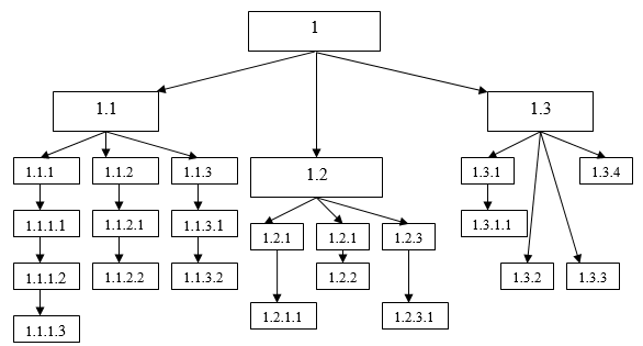
Теоретический анализ проблемы формирования конструктивных стратегий конфликтного поведения педагогического персонала ДОО (см. рисунок 1).

Рисунок 1 - дерево целей формирования конструктивных стратегий конфликтного поведения педагогического персонала ДОО
Описание дерева целей:
1.Генеральная цель – сформировать конструктивные стратегии конфликтного поведения педагогического персонала дошкольной образовательной организации ( в дальнейшем ДОО);
1.1. Теоретический анализ проблем проблемы формирования конструктивных стратегий конфликтного поведения педагогического персонала ДОО;
1.1.1.Изучить и теоретически обосновать проблему формирования конструктивных стратегий конфликтного поведения педагогического персонала ДОО;
1.1.1.1. Изучить понятие «конструктивные стратегии конфликтного поведения»;
1.1.1.2. Рассмотреть стратегии конструктивного поведения педагогического персонала ДОО;
1.1.1.3. Рассмотреть процесс формирования конструктивных стратегий конфликтного поведения педагогического персонала ДОО;
1.1.2. Изучить особенности формирования конструктивных стратегий конфликтного поведения педагогического персонала ДОО;
1.1.2.1. Охарактеризовать особенности конструктивных стратегий конфликтного поведения;
1.1.2.2. Охарактеризовать содержание особенности формирования конструктивных стратегий конфликтного поведения педагогического персонала ДОО;
1.1.3. Разработать модель формирования конструктивных стратегий конфликтного поведения педагогического персонала ДОО;
1.1.3.1. Выделить генеральную цель диссертационного исследования в соответствии с заявленной целью, построить дерево;
1.1.3.2. Построить модель формирования конструктивных стратегий конфликтного поведения педагогического персонала ДОО;
1.2. Организовать опытно-экспериментальную работу по формированию конструктивных стратегий конфликтного поведения педагогического персонала ДОО
1.2.1. Разработать этапы опытно- экспериментального исследования, и дать характеристику исследовательской деятельности на каждом этапе;
1.2.1.1. Определить базу исследования, сформировать выборку исследования и дать характеристику;
1.2.2. Определить методы и методики для проведения диссертационного исследования
1.2.2.1. Для диагностики уровня сформированности конструктивных стратегий конфликтного поведения педагогического персонала ДОО подобрать необходимые методики;
1.2.3. Провести первичную диагностику экспериментальной группы;
1.2.3.1. Проанализировать результаты констатирующего этапа исследования;
1.3. Проанализировать результаты деятельности по формированию конструктивных стратегий конфликтного поведения педагогического персонала ДОО;
1.3.1. Разработать программу по формированию конструктивных стратегий конфликтного поведения педагогического персонала ДОО;
1.3.1.1 Произвести повторную диагностику после проведенных мероприятий в соответствии с разработанной программой;
1.3.2. Дать характеристику формирующего этапа исследовательской деятельности;
1.3.3. Разработать рекомендации
1.3.4. Разработать технологическую карту по формированию конструктивных стратегий конфликтного поведения педагогического персонала ДОО.
В психологии в современном мире пользуется успехом метод моделирования. В научной литературе предлагаются различные классификации моделей (структурно-функциональные, причинно- следственные, прагматические, образные, концептуальные, эвристические) [5].
Разработка модели формирования конструктивных стратегий конфликтного поведения педагогического персонала ДОО – сложный, многоступенчатый процесс, предусматривающий использование научной теории, ее закономерностей, определенных правил, а также опытных данных [6].
Опираясь на результаты теоретического исследования и на основе анализа научных исследований по проблемам моделирования [7] и на основе «дерева целей» была составлена модель формирования конструктивных стратегий конфликтного поведения педагогического персонала ДОО (рис.2).

Рисунок 2 – Модель формирования конструктивных стратегий конфликтного поведения педагогического персонала ДОО
Целевой блок включает в себя постановку генеральной цели исследования формирования конструктивных стратегий конфликтного поведения педагогического персонала ДОО. Так же сюда относится теоретическое изучение психолого-педагогической литературы по проблеме исследования:выявление различных трактовок понятия конфликт, педагогические конфликты и конфликтного поведения, определение основных ученых, которые изучали данную проблему, выявление особенностей переживания педагогами конфликтных ситуаций в педагогической среде, определение факторов, участвующих с возникновения конфликтов с субъектами образовательного процесса, определение основных принципов формирующей деятельности в работе с педагогическим коллективом, подборка методов формирующей деятельности, которая способствует закреплению конструктивных стратегий конфликтного поведения педагогического персонала ДОО.
Диагностический блок включает в себя систему мероприятий, позволяющих выявить уровень конструктивных стратегий конфликтного поведения педагогов, процесс мотивирования участников исследования на взаимодействие, проведение непосредственно диагностики. Диагностика проводилась с помощью методик: тест «Стратегия поведения в конфликтной ситуации» К. Томаса, методика «Индикатор копинг-стратегий» Дж. Амирхан, Опросник «Способы совладающего поведения» Р.Лазарус.
Формирующий блок предполагает разработку и реализацию программы по формированию конструктивных стратегий конфликтного поведения педагогического персонала ДОО. Данный блок включает в себя проведение психолого-педагогической программы, предназначенной для повышения психологической компетентности педагогов,для освоения психологических знаний, приемов и методов, которые повысят эффективность и качество взаимодействия между участниками образовательного процесса, развитие у педагогов саморегуляции и снятия психоэмоционального напряжения,формирование позитивных поведенческих реакций и переживаний, овладение эффективными способами коммуникации.
Аналитико-результативный блок направлен н проверку эффективности реализации программы формирования конструктивных стратегий конфликтного поведения педагогического персонала ДОО. Осуществляется повторное психологическое диагностирование уровня выраженности конструктивных стратегий конфликтного поведения педагогического персонала ДОО по методикам :тест «Стратегия поведения в конфликтной ситуации» К. Томаса, методика «Индикатор копинг-стратегий» Дж. Амирхан, Опросник «Способы совладающего поведения» Р.Лазарус. Сопоставляются результаты первичной и вторичной психологичекой диагностики стратегий конфликтного поведения. Выполняется контроль реализации и эффективности программы с помощью метода математической статистики Т-критерий Вилкоксона.
Консультативный блок направлен на организацию консультативной деятельности на сохранение и закрепление положительных результатов формирующей программы.
Таким образом на основании определения понятия формирования ,изучения принципов и методов воздействия были составлены дерево целей и модель формирования конструктивных стратегий конфликтного поведения педагогического персонала ДОО.

Valentina I. Dolgova