Индивидуализация тренировочного процесса спортсменов предполагает различные пути достижения высокого спортивного результата. Практически эти пути никогда не совпадают, они так вариабельны и неповторимы, как отпечатки пальцев. При этом убедительно доказано, что в условиях управляемого обучения индивидуальные различия не сглаживаются, а напротив, становятся более выраженными.
Все это обусловливает необходимость изучения индивидуально-психологических особенностей, оказывающих существенное влияние на систему подготовки спортсменов, что позволит более четко ориентироваться на процессуальные особенности тренировочного процесса, в соответствии с индивидуальными особенностями занимающихся. Среди системообразующих факторов индивидуальности наиболее существенным являются типологические особенности проявления свойств нервной системы и темперамент [2].
В частности, Е.П. Ильин отмечает, что «типологический портрет» представителей различных видов спорта довольно разный. При этом между представителями разных видов спорта имеются не только различия в типологических особенностях, но и сходства. Это, как показывает практика, необходимо учитывать особенно в ходе тренировочной и соревновательной деятельности, поскольку в зависимости от условий этой деятельности спортсмены с различными типологическими особенностями будут показывать разную эффективность [1].
Целью исследования стало изучение, оценка и сравнение психофизиологических характеристик спортсменов различных видов спорта.
В соответствии с целью и задачами исследования в качестве методического инструментария были выбраны:
- «теппинг-тест» (методика экспресс-диагностики свойств нервной системы по психомоторным показателям Е.П. Ильина);
- тест Шульте (методика оценки умственной работоспособности);
- тест Крепелина (методика оценки умственной работоспособности).
Методика «теппинг-тест» основана на определении динамики максимального темпа движения рук. Опыт проводился с использованием компьютерной программы «Экспресс-диагностика», при этом от испытуемых требовалось в максимальном темпе нажимать на одну из заранее предусмотренных клавиш клавиатуры. Длительность теста составляла 40 секунд – 8 интервалов по 5 секунд. Работа выполнялась последовательно сначала правой, а затем левой рукой. Обязательным условием диагностирования силы нервной системы с помощью теппинг-теста является максимальная мобилизованность испытуемого.
Исследуемые показатели: максимальные и минимальные значения, продемонстрированные в 5-ти секундном интервале; динамика показателей по 5-секундным интервалам, разница между показателями, продемонстрированными правой и левой рукой (коэффициент асимметрии).
С помощью теппинг-теста могут быть выделены пять типов динамики максимального темпа работы:
- выпуклый тип (свидетельствует о наличии сильной нервной системы);
- ровный тип (нервная система средней силы);
- промежуточный и вогнутый типы (средне-слабая нервная система);
- нисходящий тип (слабая нервная система) [3].
Методика «тест Шульте» основана на определении кривой истощаемости (утомляемости), отражающей устойчивость внимания и работоспособность в динамике. Опыт проводился с использованием компьютерной программы «Экспресс-диагностика», при этом от испытуемых требовалось в максимальном темпе найти последовательно все числа от 1 до 25 в предложенной случайным образом таблице и отметить их мышкой за как можно меньшее время. Тест выполнялся 5 раз подряд без перерыва.
Исследуемые показатели: время выполнения, а так же количество ошибок отдельно по каждой таблице.
С помощью теста Шульте на основе исследуемых показателей можно вычислить такие параметры, как (по А.Ю. Козыревой):
- эффективность работы (ЭР);
- степень врабатываемости (ВР);
- психическая устойчивость (ПУ).
Методика «тест Крепелина» основана на определении устойчивости внимания и умственной работоспособности. Опыт проводился с использованием бумажной карточки с числами, при этом от испытуемых требовалось в максимальном темпе и без ошибок выполнить сложение пар чисел за ограниченное время и записать ответ в карточке.
Исследуемые показатели: количество выполненных операция, а также безошибочных и ошибочных вычислений на каждом этапе работы.
После исследования проводится качественная и количественная обработка полученных результатов. Количественный показатель сравнивается со средними значениями по группе, далее делаются выводы об отличии данного показателя. Полученный результат - это скорость работы (число проведенных вычислений) и количество допущенных ошибок на каждом из этапов. Визуально это демонстрируют при построении графика выполненной работы, где ось абсцисс - номер отрезка времени, ось ординат - число правильно выполненных операций. Качественный анализ предполагает работу с построенным по результатам исследования графиком.
В ходе исследования были проанализированы показатели 45 спортсменов 2004 г.р. и старше (лыжнки-гонщики – 25 чел., легкоатлеты – 10 чел., стрелки – 10 чел.) города Череповца. В исследовании приняло участие, в том числе, 9 – спортсменов уровня КМС, 8 – МС. Исследование было проведено на базе:
- МБУ ДО «ДЮСШ № 4» отделения: лыжные гонки и пулевая стрельба;
- МБУ ДО «ДЮСШ № 2» отделение: легкая атлетика.
Математическая обработка результатов проводилась при помощи программ MS Excel 2003, Statistica 10.0.
Полученные в ходе исследования результаты по теппинг-тесту представлены в таблицах 1-2.
Таблица 1
Средние значения показателей теппинг-теста по видам спорта
|
Показатель / вид спорта |
Левая рука |
Правая рука |
||||
|
лыжные гонки |
легкая атлетика |
пулевая стрельба |
лыжные гонки |
легкая атлетика |
пулевая стрельба |
|
|
Максимальное значение |
33,4±3,8 |
33,9±4,8 |
33,7±4,5 |
35,4±4,0 |
38,3±2,5 |
36,9±3,7 |
|
Минимальное значение |
26,3±3,7 |
27,1±4,0 |
28,1±4,6 |
29,4±3,1 |
31,9±2,7 |
30,1±3,2 |
|
Среднее значение |
29,3±3,4 |
30,0±3,6 |
31,0±4,6 |
32,2±3,2 |
34,6±2,3 |
32,8±3,3 |
|
Общее значение |
234,4±27,3 |
239,7±28,9 |
247,7±37,0 |
257,2±25,9 |
276,9±18,2 |
262,0±26,4 |
Анализ результатов теппинг-теста показал, что достоверных различий между результатами лыжников, л/атлетов и стрелков по левой руке не наблюдается, по правой руке достоверные различия наблюдаются только между лыжниками и л/атлетами. Однако способность развивать максимальный темп рукой у л/атлетов несколько выше, чем у лыжников и стрелков. Среднее значение по 5-ти секундному интервалу по правой руке также выше у л/атлетов, а по левой руке – у стрелков.
Таблица 2
Результаты распределения по типам нервной системы (по видам спорта)
|
Тип нервной системы |
Количество |
Общее количество |
||
|
|
лыжные гонки |
легкая атлетика |
пулевая стрельба |
|
|
Сильный тип НС |
2 |
0 |
0 |
2 |
|
Средний тип НС |
1 |
0 |
1 |
2 |
|
Средне-слабый тип НС |
7 |
6 |
0 |
13 |
|
Слабый тип НС |
15 |
4 |
9 |
28 |
|
Итого |
25 |
10 |
10 |
45 |
Наглядно полученные результаты распределения по типам нервной системы у лыжников, легкоатлетов и стрелков в процентном соотношении представлены рисунке 1.
Рис. 1. Распределение по типам нервной системы
Анализ результатов оценки типа нервной системы у испытуемых показал, что 60% лыжников, 40% легкоатлетов и 90% стрелков имеют слабый тип нервной системы, 28% лыжников, 60% легкоатлетов – средне-слабый тип, 4% лыжников и 10% стрелков – средний тип, 8% лыжников – сильный тип нервной системы. При этом среди легкоатлетов не было выявлено представителей сильного и среднего типов нервной системы, а среди стрелков – сильного и средне-слабого типов НС.
Отметим, что сила нервной системы по теппинг-тесту не тоже самое, что и сила нервной системы, определяемая типами темперамента.
Как уже отмечалось в статье «Оценка особенностей нервной системы юных лыжников-гонщиков», определение типа нервной системы по результатам теппинг-теста задача весьма трудоемкая, поскольку порой бывает сложно соотнести полученные результаты теста и построенный на их основе график с описательными характеристиками и модельными графиками того или иного типа нервной системы. Однако информация, получаемая по результатам теппинг-теста, имеет достаточно важное значение в тренировочном процессе [4].
Полученные в ходе исследования результаты по тесту Шульте представлены в таблице 3.
Таблица 3
Средние значения показателей теста Шульте по видам спорта
|
Показатель |
Вид спорта |
||
|
Лыжные гонки |
Легкая атлетика |
Пулевая стрельба |
|
|
ЭР |
36,98±11,1 |
34,98±10,4 |
38,22±6,3 |
|
ВР |
0,95±0,1 |
0,97±0,1 |
1,07±0,2 |
|
ПУ |
1,03±0,1 |
1,09±0,1 |
1,02±0,2 |
Анализ результатов теста Шульте показал, что достоверных различий между результатами лыжниками, л/атлетами и стрелками не наблюдается. При этом эффективность работы у л/атлетов выше по сравнению с лыжниками и стрелками, степень врабатываемости выше у лыжников, а психологическая устойчивость – у стрелков.
Наглядно полученные результаты по средним значениям показателей у лыжников, легкоатлетов и стрелков представлены на рисунке 2.

Рис. 2. Средние значения показателей (ЭР, ВУ, ПУ) по видам спорта
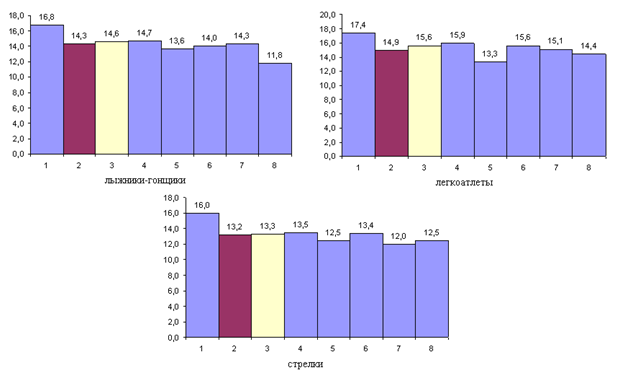
Полученные в ходе исследования результаты по тесту Крепелина представлены в таблице 4.
Таблица 4
Средние значения показателей теста Крепелина по этапам (по видам спорта)
|
Этап |
Вид спорта |
||
|
Лыжные гонки |
Легкая атлетика |
Пулевая стрельба |
|
|
1 |
16,8±5,1 |
17,4±4,7 |
16,0±3,0 |
|
2 |
14,3±4,9 |
14,9±4,1 |
13,2±4,3 |
|
3 |
14,6±5,4 |
15,6±3,8 |
13,3±4,3 |
|
4 |
14,7±4,8 |
15,9±4,6 |
13,5±3,2 |
|
5 |
13,6±4,8 |
13,3±6,1 |
12,5±4,1 |
|
6 |
14,0±4,9 |
15,6±3,9 |
13,4±4,0 |
|
7 |
14,3±4,3 |
15,1±4,1 |
12,0±2,9 |
|
8 |
11,8±4,2 |
14,4±4,6 |
12,5±3,2 |
|
Среднее |
14,27±4,6 |
15,28±4,4 |
13,3±3,3 |
Анализ результатов теста Крепелина показал, что достоверных различий между результатами лыжников, л/атлетов и стрелков также не наблюдается. Однако способность выполнять максимальное количество операций за единицу времени у л/атлетов несколько выше, чем у лыжников, показатели которых в свою очередь выше, чем у стрелков.
Наглядно полученные результаты динамики изменения работоспособности по этапам в тесте Крепелина у лыжников, легкоатлетов и стрелков представлены рисунке 3.
Рис. 3. Динамика изменения работоспособности по этапам
По результатам проведенного исследования можно сделать следующие выводы:
- Отсутствуют достоверные различия по результатам используемых тестов.
- Информацию, полученную по результатам данных тестов, не рекомендуется использовать в рамках спортивного отбора.
- Информация, полученная по результатам данных тестов, говорит о возможности достижения высоких спортивных результатов спортсменами с разными типами нервной системы и др. психофизиологическими показателями в пределах одного вида спорта.
В заключении отметим, что результаты тестов возможно использовать в рамках тренировочного и соревновательного процесса для достижения лучших результатов. Опираясь на различия в результатах оценки психофизиологических характеристик спортсменов, целесообразно подбирать индивидуальные методики в ходе тренировочной и соревновательной деятельности, поскольку в зависимости от условий этой деятельности спортсмены с различными типологическими особенностями будут показывать разную эффективность.
На следующем этапе исследования планируется проанализировать результаты теппинг-теста, тестов Шульте и Крепелина шахматистов г. Череповца различной квалификации (спортсмены высших разрядов и высшего мастерства). Предполагается, что полученные результаты тестов позволят в рамках осуществления этапов спортивного обора обосновать гипотезу о существовании взаимосвязи между типом нервной системы, умственной работоспособностью, устойчивостью внимания спортсмена и достижением им высоких спортивных результатов в разных видах спорта.
Ю.
А. Чистоедова